位错螺位错将规则排列的晶面想像成一叠间距固定的纸片,若将这叠纸片剪开(但不完全剪断),然后将剪开的部分其中一侧上移半层,另一侧下移半层,形成一个类似于楼梯拐角处的排列结构,则此时在“剪开线”终结处(这里已形成一条垂直纸面的位错线)附近的原子面将发生畸变,这种原子不规则排列结构称为一个螺位错
尽管形象不甚直观,但螺位错的应力场却远比刃位错的应力场容易求解
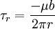
在一级近似下,螺位错应力场只有一个剪应力分量不为零:式中 μ 为材料的剪切模量,b 为伯氏矢量,r 为所在点的极坐标极轴分量

该应力解显示,螺位错附近的应力场呈轴对称式分布,大小从内到外递减
但需要注意的是在位错核心区(r=0)处按上述解将得出应力无穷大,这是不符合实际情况的
因此上述应力表达式不适用于位错核心的严重畸变区

以上内容由大学时代综合整理自互联网,实际情况请以官方资料为准。