幂等二元运算

幂等二元运算设S为一具有作用于其自身的二元运算的集合,则S的元素s称为幂等的(相对于*)当s *s = s.特别的是,任一单位元都是幂等的

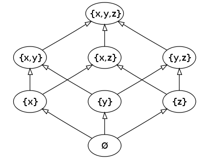
若S的所有元素都是幂等的话,则其二元运算*被称做是幂等的

例如,联集和交集的运算便都是幂等的

以上内容由大学时代综合整理自互联网,实际情况请以官方资料为准。

相关