水动力噪声正文有界水域中水介质与航行体表面或水流边界面之间相对运动而产生的随机声音
海洋中水面舰船、潜艇和鱼雷等在航行时产生的水下噪声既为敌方声纳提供信息,危及自身安全,又对本身所载的水声设备构成自噪声干扰,限制了海军装备的性能
声音的传播依赖于介质的压缩性,通常水中声速约为空气中声速的4.4倍

因此,水动力噪声的传播速度比水中航行体的航速大得多
随着各种新型舰船、水下武器和观通设备的发展,研究和降低水动力噪声日益具有重要性
研究水中航行体引起的水动力噪声的形成机理、辐射效率及其时间和空间统计特性,以便抑制、检测和识别各类水动力噪声,是水声学的一项内容

水动力噪声发声机理主要有三种噪声源模型:单极子声源模型、偶极子声源模型和四极子声源模型
它们所表示的源运动、流场特征、声场指向性和声辐射效率见图
现就三种典型水动力噪声源模型说明于下: ①单极子声源模型 流体体元作膨胀和收缩的周期性脉动,引起周围介质相对于体元的扩散和聚集运动

由于介质的可压缩性,介质密度产生稠密和稀疏的周期性变化,这种变化以波动的形式向体元外均匀传播,形成声波
流场图以“+”号表示体元膨胀的半周期脉动,箭头方向表示周围介质扩散运动的方向
声场图中以“+”号表示声源在周围介质中产生密度稠密的波动向外传播

当体元处于收缩半周期时,流场以“-”号表示,箭头朝向体元,表示周围介质向体元聚集的运动方向
相应地声场图以“-”号表示,说明声源在周围介质中产生密度稀疏的波动向外传播
为了简明起见,下图所列单极子声源的流场和声场图仅表示体元在膨胀半周期内的流场和声场

②偶极子声源模型 流体质量元在外力作用下质心作周期性的摆动
在上半周期,质心和周围介质按箭头方向运动
在下半周期,运动的方向相反

介质的运动同样引起密度的变化,以波动的形式向周围传播,形成具有指向性的声场
声场图中“+”号表示密度稠密,“-”号表示密度稀疏
显然,在质心经历一个周期摆动期间,声场在上、下半周期内“+”、“-”号发生一次相反的变化
上图所列仅为质心在半周期内的流场和声场,在另外半周期内则情形相反
③四极子声源模型 流体体元受到周期性的剪应力的作用产生周期性的应变
剪应力成对出现,体元周围介质的运动可以看作是由两个反向排列的偶极子引起的
箭头方向表示体元周围介质在半周期内的运动方向,在另一半周期内则方向相反
声场具有更为复杂的指向性,“+”、“-”号同样表示介质密度的稠密和稀疏波动,在另一半周期内,声场的“+”、“-”号相反
图中所列仅为在半周期内四极子声源的源运动和声场
上述三种典型声源模型的声场图中,声场中心至图上各点的矢径幅值形象地表征了各该声场中声压的相对幅值
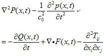
1952年英国M.J.莱特希尔导出了具有体积源、力源和剪应力源的声场普遍方程:式中x为声源区中场点的位置矢量;(i=1,2,3)为x的坐标分量;p(x,t)为t时刻x处的声压;为流体介质中的声速;Q(x,t)为t时刻x处每单位时间内注入单位体积流体中的质量;F(x,t)为t时刻x处每单位时间内注入单位体积流体中的动量;Tij为莱特希尔剪应力张量
上式右边第一项表示流体介质中的体积(或质量)脉动,是典型的单极子声源,这种声源的辐射效率最高
水中空化气泡在脉动(尤其是溃灭)时产生的空化噪声,水滴泼溅后形成气泡在脉动时的辐射噪声,船体壳板挠曲振动以及船体表面开孔和排气管末端流体脉动所产生的噪声等均属于单极子声源
第二项表示流体脉动力作用在刚体上并使它振荡所产生的噪声,属于偶极子声源,其辐射效率仅次于单极子,例如,刚性杆和球的位移振荡所辐射的噪声,螺旋桨桨叶振荡推力引起的噪声,尾流中旋涡发放引起的桨叶鸣声,以及湍流边界层辐射声等均属于偶极子声源
第三项表示应力声源,存在于湍流涡旋中,是一种四极子声源
这种声源包括发生在流体边界上的动量通量脉动(雷诺应力)和粘性应力,也包括可以发生在流体内部的热传导和非线性效应产生的应力
水中四极子的声辐射通常是微弱的,除非涡旋中包含空化气泡和涡旋运动马赫数很高
这三种声源并不是孤立存在的,在一定条件下可以互相转化
例如,流体脉动力可以激发弹性边界的挠曲振动,从而导致单极子型声辐射
水动力噪声作为随机过程,可以用联合概率分布函数来描述
除研究它的时间域统计特性(如功率谱密度和时间相关函数)以外,为了了解各种声源模型之间的相互关系以及它们与振动源之间的因果关系,尚须研究它们的空间相关函数以及相应的互相关函数和相干函数
水动力噪声是一门实验性很强的综合性研究领域
这方面的研究工作固然同声学的有关分支学科、液体动力学、机械振动学、海洋学、分子物理学以及无线电电子学等学科的进展密切相关,同时也有赖于实验技术的不断提高和实验设备、测试仪器的不断改进
噪声测量水听器是测量水动 力噪声的重要工具
以上内容由大学时代综合整理自互联网,实际情况请以官方资料为准。