基尔霍夫电压定律电场与电势在静电学里,电势定义为电场的负线积分:其中,Φ(r) 是电势,E 是电场,L 是从参考位置到位置 r 的路径,dl 是这路径的微小线元素
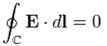
那么,基尔霍夫电压定律可以等价表达为:其中,C 是积分的闭合回路
这方程乃是法拉第电磁感应定律对于一个特殊状况的简化版本

假设通过闭合回路 C 的磁通量为常数,则这方程成立
这方程指明,电场沿着闭合回路 C 的线积分为零
将这线积分切割为几段支路,就可以分别计算每一段支路的电压

以上内容由大学时代综合整理自互联网,实际情况请以官方资料为准。