热搜词
  • 985大学
  • 211大学
  • 就业前景分析
  • 北京大学分数线
  • 重点专业
  • 重点学科
大学时代
  • 首页
  • 重点大学
    • 公办大学
    • 民办大学
    • 双一流大学
    • 985大学
    • 211大学
    • 部属大学
    • 省属大学
    • 双高大学
    • 国外名校
  • 重点学科
    • 重点学科
    • 特色专业
    • 专业目录
    • 研究生院
  • 历年分数
    • 考研分数
    • 高考分数
    • 著名中学
    • 招生计划
    • 著名小学
  • 大学排名
    • 软科大学排名
    • USNews大学排名
    • 泰晤士大学排名
    • QS大学排名
  • 就业前景
    • 校招实习
    • 面试经验
    • 数据报告
    • 职业测评
  • 校园生活
    • 考试日历
    • 比赛竞赛
    • 毕业设计
    • 专业知识
  • 高校动态
    • 学术前沿
    • 学科建设
    • 学术宗师
    • 综合知识
  • 搜索
  • 首页
  • 公办大学
  • 民办大学
  • 双一流大学
  • 985大学
  • 211大学
  • 部属大学
  • 省属大学
  • 双高大学
  • 国外名校
  • 重点学科
  • 特色专业
  • 专业目录
  • 研究生院
  • 考研分数
  • 高考分数
  • 著名中学
  • 招生计划
  • 著名小学
  • 软科大学排名
  • USNews大学排名
  • 泰晤士大学排名
  • QS大学排名
  • 校招实习
  • 面试经验
  • 数据报告
  • 职业测评
  • 考试日历
  • 比赛竞赛
  • 毕业设计
  • 专业知识
  • 学术前沿
  • 学科建设
  • 学术宗师
  • 综合知识

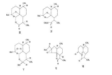
青蒿素基本信息本品为(3R

高校动态/学术宗师 2023-02-26 12:05:53 606 来源: 互联网

青蒿素基本信息本品为(3R,5αS,6R,8αS,9R,12S,12αR)-八氢-3,6,9-三甲基-3,12-氧桥-12H-吡喃并[4,3-j]-1,2-苯并二氧杂环庚熳-10(3H)-酮,按干燥品计算,含C15H22O5应为98.0%~102.0%

以上内容由大学时代综合整理自互联网,实际情况请以官方资料为准。

青蒿素基本信息本品为(3R  高校动态  学术宗师 

相关

马克斯·普朗克主要著作Max Planck:Über den
马克斯·普朗克主要著作Max Planck:Über den
陆宗舆私宅
陆宗舆私宅
英国语言文学硕士
英国语言文学硕士
章宗祥向日借款袁世凯死后
章宗祥向日借款袁世凯死后
青蒿素化学性质过氧基团反应
青蒿素化学性质过氧基团反应
汤用彤生平介绍幼承庭训
汤用彤生平介绍幼承庭训

最热点击

  • 警惕!这些常见药物可能导致流感、艾滋病!
    警惕!这些常见药物可能导致流感、艾滋病!
  • 周炳琳个人作品1949年春
    周炳琳个人作品1949年春
  • 汤用彤出版图书汉魏两晋南北朝佛教史(增订本)
    汤用彤出版图书汉魏两晋南北朝佛教史(增订本)
  • 俞大絪生平俞大絪与曾昭抡是民国知名学者
    俞大絪生平俞大絪与曾昭抡是民国知名学者
  • 青蒿素传统药物筛选“523任务”
    青蒿素传统药物筛选“523任务”

推荐

  • 江绍原简介江绍原
    江绍原简介江绍原
  • 汤用彤哲学成果佛学领域
    汤用彤哲学成果佛学领域
  • 汤用彤的哲学成就
    汤用彤的哲学成就
  • 青蒿素化学性质过氧基团反应
    青蒿素化学性质过氧基团反应
  • 青蒿素523任务
    青蒿素523任务

热门标签

  • 高考
  • 考研
  • 985
  • 211
  • 双一流
  • 分数线
  • 就业
  • 考研
  • 重点专业

友情链接

  • 阳光高考网
  • 中国大学慕课
  • 中国教育在线
  • 教育信息网
  • 学生信息网
  • 研究生招生网
  • 教师资格网
  • 中华考试网
  • 我要自学网
  • 考试资料网
关于我们 联系我们 版权声明
Copyright © 2018-2021 上海豫亦苏网络科技有限公司 沪ICP备18016296号-1